PROMOTION: बिलासपुर रेंज के 118 प्रधान आरक्षक बनेंगे ASI, देखें सूची
छत्तीसगढ़ पुलिस के बिलासपुर रेंज के IG रतनलाल डांगी ने हाल ही में प्रधान आरक्षक से सहायक उप निरीक्षक बनने के लिए हुई विभागीय परीक्षा के परिणाम जारी कर दिए हैं।
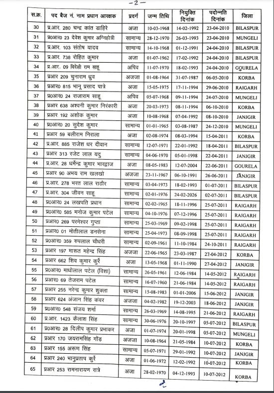
बिलासपुर। छत्तीसगढ़ पुलिस के बिलासपुर रेंज के IG रतनलाल डांगी ने हाल ही में प्रधान आरक्षक से सहायक उप निरीक्षक बनने के लिए हुई विभागीय परीक्षा के परिणाम जारी कर दिए हैं। इस सूची में 118 पुलिस कर्मियों के नाम हैं, जिन्हें पात्र माना गया है। जल्द ही इन सभी को प्रशिक्षण पर भेज दिया जायेगा, जिसके बाद ये ASI के पद पर पदोन्नत हो जायेंगे।
देखिये सूची :





